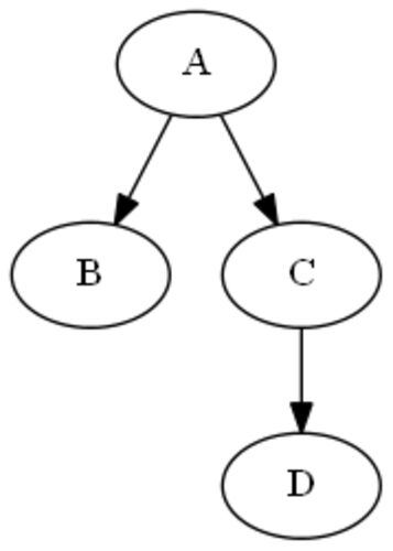
Gordon Woodhull: Introducing MPL.Graph(pdf) BoostCon 2011のMPL.Graphの資料を見たら、GraphのEDSLの案が出ていたので、似たようなのを作ってみました。 edges = ( vertex(A) >= vertex(B) & vertex(A) >= vertex(C) >= vertex(D) ); のようにして、A-B C…
引用をストックしました
引用するにはまずログインしてください
引用をストックできませんでした。再度お試しください
限定公開記事のため引用できません。